GeoTech Cues October 21, 2025 • 2:58 pm ET Print this page For aging populations to…
Continue ReadingTag: Healthcare
Advancing healthcare allocation and prevention of disability: the role of disease-based predictive model for disability in aging adults | BMC Geriatrics
Study design This research presented a methodology for developing a predictive model of disability in the…
Continue Reading
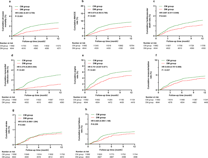
Effectiveness of digital healthcare to improve clinical outcomes in discharged patients with coronary artery disease
Digital medical management after discharge represents a new approach to chronic disease management, leveraging technologies such…
Continue Reading
10-year cardiovascular disease risk and its predictors: a comparison between healthcare workers and the general public in Qatar | BMC Public Health
World Health Organization (WHO). Cardiovascular diseases. Accessed 11 Jan 2023. Tzoulaki I, Elliott P, Kontis V,…
Continue Reading
Aging population, urban surge warrant healthcare overhaul
With significant shifts in population distribution and demographics, Bangladesh’s health sector must realign its focus on…
Continue Reading
An innovative approach based on health surveillance for the prevention and early detection of cardiovascular diseases in a large cohort of healthcare workers
Study design, setting and population We carried out a retrospective observational study on the entire population…
Continue Reading